Форум
Войти
Регистрация в портале
Карта сайта
Расширенный поиск
Архивное дело
Видеоматериал
Документ с номером
Информация о статье
Мероприятие
Новость
Организация
Персона
Проект
Публикация
Раздел хранилища файлов
Сообщение форума
Файл
Фоторепортаж
Электронная коллекция
Об Академии
Президиум РАН
Структура РАН
Члены РАН, почётные звания
Государственное задание РАН
Фундаментальные научные исследования
Экспертное научное обеспечение
Научные советы, комитеты, комиссии
Научно-издательская деятельность
Популяризация науки
Новости, пресса
Профсоюз работников РАН
Версия для печати
Дело № 1888
Название:
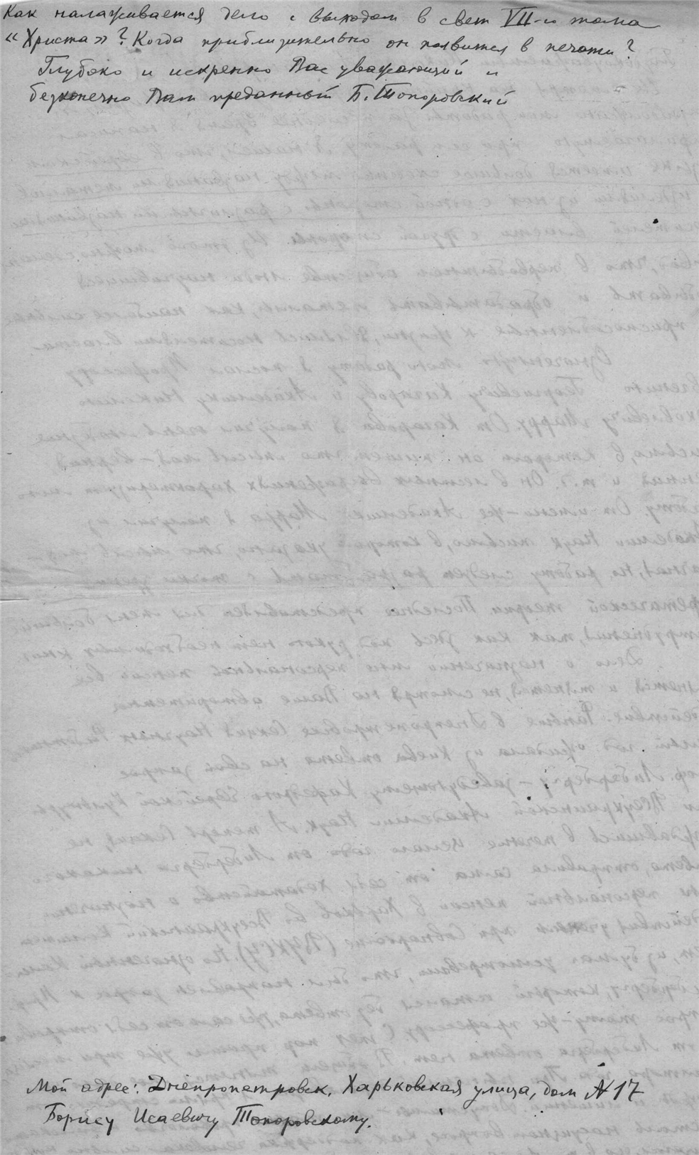
Топоровский Борис Исаевич. Днепропетровск.
Вид материала:
письма
Способ воспроизведения:
машинопись, рукописный текст
Языки:
русский
Крайние даты:
1929-1931
Изображения страниц:
1
2
3
4
5
6
7
8
9
10
11
12
13
14
15
16
17
18
19
20
21
22
23
24
25
26
27
28
29
30
31
32
33
34
35
36
37
38
39
40
41
42
43
44
45
46
47
48
49
50
51
52
53
54
55
56
57
58
59
60
61
62
63
64
65
66
67
68
69
70
71
72
73
74
75
76
77
78
79
80
81
82
83
84
85
86
Подразделы
Историческая справка
Законы, указы, постановления, распоряжения
Устав РАН
Отчет о результатах деятельности Академии
Общее собрание РАН
Президент РАН
Награды РАН
Действующие научные системы РАН
Сеть MathNet
Электронные коллекции
Архив почетного академика Н.А.Морозова
Опись 01
Опись 02
Опись 03
Опись 04
Опись 04а
Опись 05
Опись 06
Опись 07
Опись 09
Опись 10
Опись 11
Опись 12
Архив академика В.И.Вернадского
Архив академика C.И.Вавилова
Архив академика В.Л.Комарова
Архив К. Э. Циолковского
Архив А. В. Флоровского
Международное сотрудничество
Сотрудничество с Российскими организациями
Антикоррупционная деятельность
Здания и музеи РАН
Объявления
27-28 мая 2026
Всероссийская конференция «Микроэлектронные системы» (МЭС-2026)
Конкурсы на соискание золотых медалей имени выдающихся учёных в 2026 году
10-13 июня 2026 года
«Международный научно-практический форум «Современные тенденции развития ветеринарной науки и её роль в решении проблем продовольственной безопасности»
IX cъезд по радиационным исследованиям (радиобиология, радиоэкология, радиационная безопасность)
Нормативные затраты на 2026-2028 гг. от 24.02.2026 учреждений, входящих в структуру РАН
Нормативные затраты региональных отделений РАН 2026-2028 гг.